品牌:生威牌
型号:无
规格:无
起订:1普通
供应:1普通
发货:3天内
发送询价
产品介绍QC12K系列数控液压摆式剪板机主要性能特点可选以下数控系统:
1、机器为全钢焊接机构,液压上传动,振动消除应力,机器强度高、刚性好。液压摆式剪板机是通过采用主油缸(固定在墙板上)做向下剪切运动、氮气缸回程,因此简化液压系统、运行更稳定。摆式剪板机的上刀架在剪切过程中绕一固定轴线作圆弧摆动,通过杠杆作用,支点受力小,可提高剪切刃寿命、机器寿命,整机结构紧凑,并能无极调节上刀架的行程量,大大提高工作效率。
2、数控系统功能(荷兰 Delem):全中文显示,便于操作。后挡料装置为机动块调整,具有单向和双向定位功能,能有效消除丝杠间隙,具有退让选料功能,避免挡料装置与工件的干涉,减少磨损,提高定位精度,具有自动或手动搜索参考点功能。具有断电位置记忆功能,对参数、位置及程序进行现场保护。具有多步加工编程功能,可实现多步动运行,完成多工步零件一次性加工,提高生产效率。
3、采用防护栅与电器箱联锁人生安全保护装置。
4、采用先进的集成式液压系统,可靠性好。
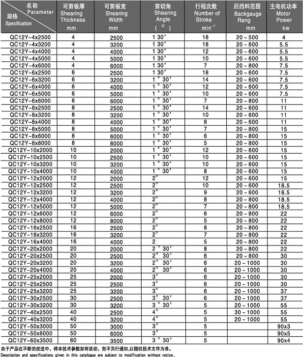
产品属性型号 可剪板厚(mm) 可剪板宽(mm) 剪切角 材料强度(N/mm) 后挡料调节范围(mm) 行程次数(次/分) 主电机功率(Kw) 重量(Kg) 外形尺寸 L×W×H(mm)
QC12K-4/2500液压摆式剪板机 4 2500 1°30′ ≤450 20-500 16 5.5 5000 3040×1610×1620
QC12K-4/3200液压摆式剪板机 4 3200 1°30′ ≤450 20-500 13 5.5 6000 3840×1610×1620
QC12K-4/4000液压摆式剪板机 4 4000 1°30′ ≤450 20-600 10 5.5 7000 4600×1700×1700
QC12K-4/6000液压摆式剪板机 4 6000 1°30′ ≤450 20-600 5 7.5 16000 6460×2100×3200
QC12K-6/2500液压摆式剪板机 6 2500 1°30′ ≤450 20-500 15 7.5 6000 3040×1610×1620
其他说明主要配置:
1、电气控制主要电器元件由正泰集团生产。
2、油缸的主要密封件由日本华尔卡公司生产。
3、液压系统全部采用插装阀控制,液压主原件采用德国HOERBIGER公司.
4、刀片由上海机械厂生产的“上刀牌”刀片(6CrW2Si)。
5、液压泵采用航天标准低噪音内啮合齿轮泵NT3系列(上海诚捷)。
6、选用中国台湾HIWIN 直线导轨和滚珠丝杠。
7、选用日本松下Panasonic 或者 三菱 伺服驱动器和伺服电机。
8、液压系统选用德国EMB管路接头,保证液压系统长期运行中的稳定。
交易说明详情请咨询江苏力威剪折机床有限公司